Fruit recognition

Fruit Recognition (the PRISM project)

Don Sun and Mark Hansen

Importance

The most difficult part of designing a self-checkout device for supermarket is the identification of non-barcoded items (such as fruits and vegetables). Currently, we have developed a system of identifying such produce based on color spectroscopy. More recently, we started investigating various ways of estimating shapes, surfaces textures of objects to improve the performance of color spectrum based system. This technology will greatly improve the performance of both operator-assisted checkout devices by avoiding the effort of looking up items in catalogue and self-checkout systems.

Description

Illustration of checkout counter

The key hardware for the fruit recognition is a spectrometer that take a spectrum of measurements of light reflectance from the surface of a fruit at different wavelengths. Following are a few spectra of some typical fruits.

The spectrum is normalized by dark and white references and used as feature vector for classification.

Methodology

The methodology for fruit classification based on color spectrum consists of two major components:

Feature vector reduction:

The predictor variables in the color spectrum problem represent different wavelengths and adjacent variables are more alike than the ones far apart. In this case, since adjacent predictor variables are highly correlated, it is desirable to have similar coefficients for neighboring predictor variables. In other words, the coefficients should change smoothly across the predictor variables. Hastie, Buja and Tibshirani (1992) have developed a new method called penalized discriminant analysis that allows a smoothness constraint on the discriminant coefficients, both for improved prediction performance and interpretability. The new method is an extension of the traditional LDA by introducing smoothness to the discriminant coefficients.

Classification Methods

*   Nearest neighbor method
*   Non-negative least squares method
*   Nearest convex null method
*   Mixture of Normal distributions

The First two methods require the full storage of training data, while the method using mixture of Normal distributions requires much less storage with comparable performance.

New Development on Shape and Surface Texture as Supplementary Information

It has been discovered from many classification experiments that certain kinds of produce do not distinguish from each other very well by color spectrum alone. For example, between yellow squash and banana, or even lemon. To improve the classification rate of our color spectrum based system, we have investigated many different ways of getting shape and surface texture information.
*   Shape estimation using bar-code scanner

Image full size image Image full size image

*   3D image reconstruction using a laser scanning device

Here is the diagram of the system for taking slices of laser scans of an object for reconstructing 3D image and an example of the image taken from the laser scanning device (to find out what the object is, click on the full size image).

Laser scaning device diagram full size image Image full size image

*   Texture

corn kiwi orange

*   Shape outline estimation

Outline Image

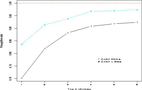
We have developed a backlighting scheme for measuring the outline of multiple objects in a plastic bag. The interference from the bag, which is normally caused by specular reflection is minimized when backlighting is used. An outline tracing algorithm is developed to estimate the shape of "partial" objects through convex polygon approximations. Some preliminary classification results showed significant improvement in identification accuracy when the size information is incorporated.

Classification result

Business Unit Interaction

Don Sun and Mark Hansen at the Statistics research department have been working closely with researchers in the physics area at Bell Labs and engineers at NCR in Atlanta. The major role of our statistics group is to develop new methodologies and algorithms for fruit identification and provide guidance in improving the current apparatus to achieve more accurate and robust result.

Gordon Thomas, Doug Rapkine, Harold Hess and Robert Chichester at the physics departments in Bell Labs are mainly working on the hardware design of the fruit recognition system.

Ron King, Don Collins, Jeff Treptau etc. are our major collaborators at NCR in Atlanta. Their major role is to build prototype instrument, collect data, and carry out field testing.

Impact

The impact of this technology on the retail business is very significant. It will help NCR to gain competitiveness and market share in the industry of retail checkout device.

Current Status

Most of the research results on color spectroscopy have been successfully transferred to NCR (Atlanta), where prototype models are being built and tested. A patent on the fruit classification based on color spectrum is being filed by Lucent Technologies.

The research on incorporating shape information to improve the performance of the existing color spectrum based system is still in progress, and the work is being carried out under agreements between Lucent Technologies and NCR on yearly basis.

The fruit recognition project greatly influenced our methodological research in image analysis and recognition area. We have been developing algorithms in estimating shape of objects from general purpose laser scanning devices, which can have many different applications in industrial imaging. The method of combining different features together to perform sequential classification will provide a very useful tool for many pattern recognition problems.


Back to the Statistics project page.

Back to the Statistics home page.

Last modified: $Date: 2000/11/02 21:14:27 $

dxsun@research.bell-labs.com